Variogramas na Geoestatística: Fundamentos, parâmetros e aplicações na modelagem mineral
🔍 O variograma é a ferramenta central da geoestatística, pois descreve a continuidade espacial de variáveis geológicas e minerais.
Neste artigo, explorei:
✅ As hipóteses fundamentais (intrínseca e estacionaridade).
✅ A relação entre covariograma e variograma.
✅ Os principais parâmetros (pepita, sill, alcance e contribuição).
✅ Modelos clássicos: esférico, exponencial e gaussiano.
✅ Efeitos que impactam a qualidade: anisotropia, outliers, serrotamento e hole effect.
✅ O conceito de aditividade, que permite combinar estruturas em múltiplas escalas.
🎯 A correta modelagem da continuidade espacial não é apenas um requisito estatístico — é uma ponte entre a geologia e a matemática, garantindo estimativas confiáveis, simulações realistas e decisões seguras no planejamento de mina.

1. Introdução
O variograma é o principal instrumento da geoestatística para quantificar a continuidade espacial de variáveis regionalizadas, como teores de minério, porosidade de rochas-reservatório ou propriedades geoquímicas. Através dele, é possível avaliar como pontos próximos no espaço se correlacionam e até que ponto essa correlação se perde com o aumento da distância.
Continuidade espacial significa que valores de uma variável regionalizada (como teor de minério, porosidade, permeabilidade, etc.) são mais parecidos quando estão próximos e tendem a se diferenciar conforme a distância aumenta. É o mesmo que dizer que existe uma dependência espacial entre os dados: a informação de um ponto no espaço ajuda a prever o valor em pontos vizinhos. Isso significa que se encontrarmos em uma determinada parte do depósito altos valores de teores, há uma maior chance ou possibilidade que existam valores em sua proximidade.
A premissa consiste que amostras que se situam mais próximas tendem a ser mais correlacionadas do que amostras que se situam em maiores distâncias. Logo o variograma é uma função vetorial (h) em que se representa a variação de distância entre pares de amostras. Ou seja, para um mesmo domínio considerado, a correlação entre uma amostra e outra depende apenas da direção e distância entre elas e não do posicionamento dessas amostras.
A construção do variograma está fundamentada na hipótese intrínseca: assume-se que a média das diferenças entre pares de amostras separadas por uma distância (h) é constante, mesmo que a média global da variável não seja. Formalmente:

Figura 1 – Função variograma
Em que:
- Z(u) é o valor da variável na posição u,
- h é o vetor de separação (lag),
- γ(h) é a semivariância.
Da mesma forma a função Covariograma pode ser descrita como

Figura 2 – Função covariograma
Em que:
- Z(u) é o valor da variável na posição u,
- h é o vetor de separação (lag),
- C(h) é a semivariância.
- m é a média da variável considerada
Essa hipótese é menos restritiva que a de estacionaridade de segunda ordem, permitindo a aplicação da variografia em casos onde a variância global é infinita.
Em termos gerais o variograma é uma característica do seu domínio de estimativa. O domínio de estimativa é a região espacial dentro da qual se assume que os dados seguem o mesmo modelo estatístico e variográfico. Ou seja, é a área (ou volume) em que:
- a variável de interesse é considerada estacionária (mesma média e variância),
- há mesma estrutura de continuidade espacial (variograma),
- não existem mudanças abruptas de geologia, litologia ou mineralização que quebrem essa homogeneidade.
A construção de domínios de estimativa devem seguir tanto o conhecimento geológico como análises estatísticas para permitir a sua definição. Em alguns casos, por exemplo, a justificativa de alteração do domínio pode ser apenas geométrica. Lentes de um pegmatito, por exemplo, podem estar em direções contrárias a maioria das demais lentes, formando um domínio separado. Uma vez construído um variograma para um domínio específico, que possua robustez na qualidade dos dados, este é fixo, como uma assinatura digital daquele domínio. Não há necessidade de reformular variogramas a cada vez que são inseridas novas informações, a não ser que este domínio considerado mude.
A análise variográfica constitui a base de estimativas por krigagem e de simulações estocásticas, influenciando diretamente na confiabilidade dos modelos geológicos e na avaliação de recursos minerais.
2. Tipos de função sobre continuidade dos dados
Funções de continuidade espacial geralmente são subdivididas em duas categorias: funções de dissimilaridade e funções de similaridade espacial. Funções de dissimilaridade medem a diferença entre variáveis ao longo do espaço, geralmente representada pelo variograma, enquanto funções de similaridade geralmente medem o grau de parentesco entre essas amostras como o covariograma.
Em que :
- γ(h) é o semi variograma
- C(0) é a variância a priori ou variância dos dados
- C(h) é o covariograma
A figura 3 representa essa relação como podemos ver. Enquanto o variograma tende a aumentar com a distância, ou seja a dissimilaridade entre os dados tende a ser maior, o correlograma tende a diminuir ou seja a similaridade dos dados.

Essa relação nos mostra que a variância a priori dos dados é o limite para conversão de variogramas em covariogramas. Alguns autores sugerem que esse patamar possa ser descrito pela variância desagrupada ou até mesmo a variância de dispersão dos dados.
Há uma discussão intensa no meio profissional se variogramas podem extrapolar a variabilidade intrínseca dos dados. A verdade é que alguns fenômenos podem apresentar derivas sendo que a variabilidade pode crescer indefinidamente ao longo de uma direção. É o caso, por exemplo, de se variografar a cota de um morro que cresce sempre. Os resultados tendem a apenas aumentar a variância indefinidamente. Neste caso não há problema em utilizar variogramas que se prolongam muito acima do patamar, mas para isso é necessário utilizar a técnica de estimativa correta como a Krigagem Universal.
Em casos que a variância se estabelece um pouco acima da variância dos dados, mesmo realizando cortes nas amostras para reduzir essa variabilidade, o problema de usar variogramas acima do patamar pode ser um problema computacional. Dependendo do algoritmo utilizado para a estimativa os variogramas imputados podem ser convertidos em covariogramas para reduzir o tempo de cálculo das matrizes de correlação, já que o covariograma apresenta traço maior que os valores das diagonais. Se essa transformação é gerada dentro do algoritmo a partir da variância dos dados e não da variância modelada podem haver problemas de resolução dessas matrizes, gerando resultados espúrios na krigagem.
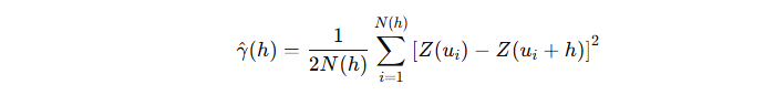
3. Funções experimentais da continuidade espacial
Funções de continuidade espacial podem ser construídas de forma interpretativa, não baseadas puramente nos dados, principalmente quando realizamos projetos greenfield em que poucas informações são obtidas para a realização de estimativas. Neste caso é possível adotar variogramas de depósitos similares ou de regiões próximas para a estimativa e interpretação das informações.
No entanto, modelos bem interpretados sob amostras representativas do depósito mineral são um parâmetro de qualidade a ser considerado na avaliação de Recursos e Reservas minerais. Para isso são utilzadas funções experimentais que calculam a partir de distâncias e valores apresentados pelos dados. A função do semi-variograma experimental é a mais comun utilizada como apresentado na figura 4:

Figura 4 – Variograma Experimental
Em que
- Z(ui) – amostra no suporte i
- Z(ui + h) – amostra a uma distância vetorial h da amostra original
- N(h) – número de pares no cálculo do variograma experimental
A figura 5 apresenta o cálculo do variograma experimental em uma direção leste-oeste para 6 pontos em um grid com seus respectivos valores.

Figura 5 – Exemplo de amostras em uma direção E-W e o cálculo do variograma experimental
Os cálculos do variograma experimental podem ser apresentados na tabela abaixo.
γ(h =1m) = [(2.5 -2.0)^2 + (3.2 - 2.5)^2 + (2.8 - 3.2)^2 + (3.5-2.8)^2 + (3.0- 3.5)^2]/(5*2) = 0.164
γ(h =2m) = [(3.2-2.0)^2 + (2.8- 2.5)^2 + (3.5- 3.2)^2 + (3.0-2.8)^2]/(4*2) = 0.207
γ(h =3m) = [(2.8-2.0)^2 + (3.5- 2.5)^2 + (3.0- 3.2)^2]/(3*2) = 0.28
Na maioria dos casos não temos grid regulares que possamos definir as amostras situadas na cabeça e no rabo do vetor. Neste caso usamos tolerâncias para definir quais são as amostras experimentais neste cálculo. Neste caso usamos tolerâncias como
- Bandas – Variações do lag do vetor. Para um vetor de 1m por exemplo, e uma banda de 0.5m significa que a amostra considerada no rabo será calculada com todas as amostras na cabeça variando a uma distância de 0.5m a 1.5m.
- Tolerância angular – As variações da direção. Para um vetor com 45graus de azimute, uma tolerância de 10 graus signfica que as amostras do rabo do vetor serão calculadas de 35 graus a 55 graus.
- Tolerância linear – Variações perpendiculares ao lag do variograma.
A figura 6 apresenta a tolerância para o cálculo dos variogramas experimentais.

Figura 6 – Tolerâncias para o cálculo do variograma experimental
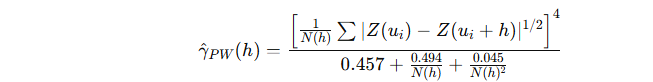
O variograma experimental é uma medida de dissimilaridade entre as amostras altamente afetada pela presença de valores anômalos. Como as diferenças entre valores é elevado ao quadrado, em muitos casos é possível apresentar efeitos de serrotamento no variograma, tornando difícil a interpretação dos dados. Dessa forma surgiram algumas funções chamadas de robustas com menor efeito destes valores anômalos tais como
- Madograma:

Figura 7 – Função madograma
Rodograma:

Figura 8 – Função Rodograma
Pairwise variogram (Cressie & Hawkins, 1980):

Figura 9 – PairWise variogram
Variogramas experimentais podem apresentar comportamentos diferenciados dos dados que dificultam a sua interpretação. Neste caso enumera-se:
- Efeito pepita puro: Variogramas podem apresentar valor constante para todo o domínio. Esse efeito também é associado ao white-noise effect ou de ruído puro, muito comum nas televisões antigas de tubo ao anoitecer. Isso acontece porque aparentemente o depósito pode ser homogêneo ou completamente disseminado, não demonstrando variações ao longo da direção.
- Efeito de serrotamento: Variogramas podem apresentar picos ou vales diferentes do comportamento geral dos dados, também chamado de efeito de serrotamento. Isso acontece devido a presença de outliers ( valores muito altos ou baixos que não são comuns no domínio) que podem acabar desestruturando o variograma experimental. Uma boa prática consiste em aplicar filtros nos dados do domínio afim de remover estes efeitos.
- Hole effect: Variogramas experimentais podem apresentar efeitos cíclicos também chamados de hole effect. Estes efeitos cíclicos podem ocorrer devido a natureza variável do depósito em uma dada direção como alterância de camadas ou litologias. Para a mesma litologia o variograma tende a diminuir devido a sua similaridade em sua composição, mas novamente volta a aumentar pela presença de uma outra litologia desconexa com a original, devido a um pequeno aumento do lag.
- Anisotropia zonal: A anisotropia zonal geralmente ocorre entre direções, ao qual uma consegue capturar toda a variabilidade do depósito ao mesmo tempo que outra direção não chega na variância dos dados. Isso acontece devido a também a natureza variável do depósito, mas principalmente ao longo da estratigrafia ao qual as direções horizontais tendem a ser muito contínuas, mas a vertical pode apresentar alternância entre camadas. .
A figura 10 apresenta esses diferentes comportamentos dos variogramas experimentais.

Figura 10 – Tipos diferentes de comportamento de funções de continuidade espacial
4. Modelos de continuidade espacial
Modelos de continuidade espacial tendem a ser funções contínuas que representam e generalizam, para qualquer distância realizada, a variabilidade dos dados. Além de permitirem essa generalização, essas funções devem ser positiva-definida, um conceito matemático que prevê que a construção de matrizes a partir destas funções sempre deve gerar autovalores positivos e variâncias positivas. Essa definição é necessária para a construção de matrizes de krigagem para que seus valores gerem resultados reais.
Logo existem uma limitação nos modelos adotados de continuidade espacial. Existem praticamente duas abordagens na adoção destes modelos, os modelos paramétricos ao qual se definem funções da continuidade espacial a partir de parâmetros a serem modelados e a abordagem não paramétrica, pouco utilizada, que se apropria de séries de funções de Fourier para definir o resultado a partir dos dados.
A facilidade como os modelos paramétricos permitem uma interpretação dos depósitos minerais faz com que sejam mais populares no meio da mineração. Geralmente os modelos paramétricos usados são os modelos ergódicos que estabilizam a variabilidade total em um patamar. Entre os parâmetros temos:
4.1. Efeito Pepita (c0)
- Representa uma descontinuidade na origem (lag = 0).
- Causas:
- Variação em microescala (menor que o espaçamento amostral).
- Erros de amostragem ou de laboratório.
4.2. Contribuição (c)
- É a parcela da variância explicada pela estrutura espacial.
- Representa a diferença entre o sill total e o pepita
4.3. Patamar (Sill)
- É o valor em que o variograma se estabiliza quando h aumenta.
- Equivale à variância total da variável
4.4. Alcance (Range, a)
- É a distância máxima até a qual existe correlação espacial significativa.
- No variograma: distância onde a curva atinge o sill.
- No covariograma: distância onde a função decai até zero.
- Interpretação prática: Amostras separadas por distâncias menores que a são correlacionadas. Amostras além de a são praticamente independentes.
A figura 11 representa os parâmetros de um modelo de continuidade espacial de um variograma.

Dentre as funções de continuidade espacial mais comuns temos os modelos esférico, gaussiano e exponencial.
- Exponencial

Figura 12 – Variograma exponencial
- Gaussiano

Figura 13 – Variograma gaussiano
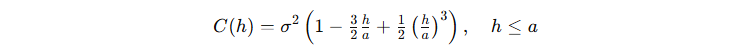
- Esférico

Figura 14 – Variograma exponencial
A figura 15 apresenta as principais diferenças entre os modelos gaussiano exponencial e esférico.

Figura 15 – Diferenças entre os principais modelos de continuidade espacial, modelo gaussiano, exponencial e esférico
O modelo gaussiano é o que apresenta crescimento parabólico na origem, o que pode gerar estimativas durante a krigagem altamente suavizadas. Modelos gaussianos geralmente são adotados em depósitos com grande continuidade como depósitos de carvão, e precisam possuir pelo menos alguns pontos experimentais próximos à origem com número significativo de pares. Não é aconselhável adotar o modelo gaussiano para depósitos com alta variabilidade como depósitos de ouro, platinóides, níquel, cobre, etc.
No caso de modelos gaussianos há a presença de uma assíntota no patamar. O patamar nunca é alcançado e define-se um alcance prático como 1.732 do alcance original, para que se atinja 95% da variância dos dados. A figura 16 apresenta a demonstração deste resultado.

Figura 16 – Alcance prático do modelo gaussiano
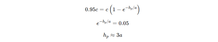
No caso de modelos exponenciais também há a presença de uma assíntota no patamar. Neste caso o patamar nunca é alcançado e define-se um alcance prático de três vezes o alcance fornecido tal que se atinja 95% da variância dos dados. A figura 17 apresenta a demonstração deste resultado.

Figura 17 – Alcance prático no modelo exponencial
Para o geoestatístico que modele variogramas exponenciais e gaussianos é necessário entender qual alcance o software a ser manipulado está utilizando , seja o alcance (a) ou o alcance prático. Essa dificuldade de intepretração do parâmetro do modelo exponencial e a dificuldade do uso correto de variogramas gaussianos faz com que o modelo esférico seja o mais simples e mais fácil de se usar e interpretar. Para valores acima de (a) o alcance chega ao patamar, e sua descontinuidade na origem é linear e compatível com a erraticidade da maioria dos depósitos minerais.
5. Aditividade de variogramas e estruturas
O conceito de aditividade de variogramas vem da propriedade matemática de que a soma de funções permissíveis (lícitas) continua sendo uma função permissível. Isso significa que podemos combinar diferentes estruturas de variabilidade em um único modelo de variograma. Ou seja a soma de n modelos de variograma também é um variograma válido.

Figura 18 – Aditividade de variogramas e estruturas
Essas estruturas tem uma dupla função: ao mesmo tempo que permitem ajustar melhor os modelos aos valores experimentais, também permitem reproduzir a variabilidade em diferentes escalas de um modelo. Um modelo de continuidade espacial com duas estruturas pode, por exemplo, reproduzir a variabilidade litológica e a variabilidade regional de um depósito mineral.
- Pepita → adiciona a variabilidade em microescala e erros de medição.
- Componente de curto alcance → descreve a continuidade em pequena escala (ex.: microestruturas, veios finos).
- Componente de médio alcance → reflete a estrutura regional ou estratigráfica.
- Componente de longo alcance → pode capturar tendências maiores ou variações de fundo.
6. Anisotropia
Anisotropia é a propriedade de uma variável regionalizada apresentar continuidade espacial diferente conforme a direção. Em outras palavras, funções de continuidade espacial devem permitir modelar parâmetros diferentes alcances para cada uma das direções, pois os eventos geológicos podem se formar diferentemente para diferentes regiões do espaço. Em depósitos estratigráficos por exemplo, espera-se que a continuidade lateral seja muito maior do que a vertical, pois ao longo da diagênese deste depósito os minerais mais similares entre si estão em uma mesma camada. Em depósitos lenticulares, espera-se que a orientação das lentes influencie na variabilidade da zona mineralizada. Em pipes espera-se que a continuidade vertical em certas partes do depósito seja diferente dos halos de alteração nas bordas destes corpos.
Mas porquê apenas variar o parâmetro do alcance varia ao longo da direção? O efeito pepita é por convenção a variação em pequena escala e também os erros de amostragem e independe da direção adotada. Quanto ao patamar sabemos que ele pode variar ao longo da direção devido a anisotropia zonal, já anteriormente comentada. Neste caso usamos o truque de modelar uma estrutura com alcance infinito naquela direção para que não encontre nunca o patamar. Dessa forma conseguimos, apenas com o alcance, influenciar a outra propriedade dependente que é o patamar.
Definimos então o que chamamos de elipsoide de anisotropia ou anisotropia geométrica. Essa é uma simplificação geométrica que pode definir qualquer alcance a patir de 3 eixos independentes, um de máximo alcance, um de médio alcance e outro de mínimo. Utilizando matrizes de rotação e diltação podemos encontrar qualquer alcance em qualquer direção utilizando apenas geometria.

Figura 19 – Elipsoide de anisotropia
O elipsoide de anisotropia é na verdade um modelo de abstração da continuidade espacial. Alguns modelos de convolução a partir de Transformadas de Fourier indicam que a dependência espacial pode ser muito mais complexa do que apenas um elipsoide de anisotropia, podendo econtrar alcances e direções em formas o orientações distintas. Algumas técnicas de anisotropia dinâmica tendem a caracterizar essas orientações de forma mais complexa segundo as características do corpo mineralizado, mas sempre partem de uma estrutura de um elipsóide de anisotropia básico que translada ao longo das diferentes direções.
7. Conclusões
O variograma constitui-se no instrumento fundamental da geoestatística, pois traduz em linguagem matemática a continuidade espacial das variáveis regionalizadas. Sua correta definição depende do entendimento das hipóteses intrínsecas, da distinção entre covariograma e variograma, da identificação dos parâmetros principais (pepita, contribuição, patamar e alcance) e da interpretação de efeitos que interferem na qualidade da curva, como anisotropias, hole effect, serrotamento por outliers e descontinuidades em pequena escala.
A discussão mostrou que os modelos teóricos mais utilizados (esférico, exponencial e gaussiano) atendem às condições de permissibilidade, sendo capazes de representar processos com diferentes graus de suavidade. Destaca-se ainda a importância do conceito de alcance prático em modelos assintóticos, como o exponencial e o gaussiano, e a noção de aditividade, que permite compor estruturas de variabilidade em múltiplas escalas dentro de um mesmo modelo.
A análise da anisotropia reforça que a mineralização raramente é isotrópica, sendo essencial identificar direções de maior e menor continuidade, representadas por elipses ou elipsoides tridimensionais. Esse cuidado garante maior realismo no modelo geoestatístico e, consequentemente, maior confiabilidade nas estimativas e simulações.
Assim, a construção e interpretação do variograma não devem ser vistas apenas como um procedimento estatístico, mas como uma etapa integradora entre geologia e matemática, em que a compreensão dos controles geológicos é tão essencial quanto o rigor teórico. Modelar corretamente a continuidade espacial é condição indispensável para a estimativa de recursos minerais, avaliação de incertezas e suporte às decisões de planejamento de mina.
8. Bibliografia
- Isaaks, E. H., & Srivastava, R. M. (1989). An Introduction to Applied Geostatistics. Oxford University Press.
- Goovaerts, P. (1997). Geostatistics for Natural Resources Evaluation. Oxford University Press.
- Deutsch, C. V., & Journel, A. G. (1998). GSLIB: Geostatistical Software Library and User’s Guide. Oxford University Press.
- Cressie, N. (1985). Fitting variogram models by weighted least squares. Mathematical Geology.
- Bohling, G. (2005). Introduction to Geostatistics and Variogram Analysis. Kansas Geological SurveyNumerical_Methods_and_Geostatis…Numerical_Methods_and_Geostatis….
- Drumond, D. A. (2016). Desenvolvimento de algoritmos para análise e modelagem variográfica. Dissertação de Mestrado, UFRGS000999114.
Share this content:
