QA/QC em Mineração: Princípios, Aplicações e Controle Analítico segundo as Práticas Internacionais
Na mineração, a qualidade dos dados é tudo. Programas de QA/QC (Quality Assurance / Quality Control) garantem que os resultados de sondagem e laboratório sejam precisos, confiáveis e rastreáveis.
Brancos, padrões e duplicatas ajudam a medir acurácia e precisão, enquanto gráficos como Shewhart e Thompson & Howarth mostram a estabilidade das análises ao longo do tempo.
Com o uso de materiais de referência certificados (CRMs) e testes interlaboratoriais, o QA/QC assegura que os dados sigam os padrões exigidos pelos códigos JORC, NI 43-101 e CIM.
✅ QA/QC não é apenas controle de qualidade — é a base da credibilidade técnica na mineração.

1. Introdução
Os programas de Quality Assurance/Quality Control (QA/QC) são fundamentais para garantir a integridade e a confiabilidade dos dados utilizados em exploração mineral, estimativa de recursos e controle de teor em mina. A aplicação de QA/QC é mandatória sob os principais códigos internacionais de reporte — JORC (2012), NI 43-101 (Canadá), SAMREC (África do Sul) e SEC SK-1300 (EUA) — e deve ser conduzida sob supervisão de um Qualified Person (QP) ou Competent Person (CP).
O objetivo principal é identificar e quantificar erros sistemáticos (viés) e aleatórios (imprecisão) em todas as etapas: amostragem, preparação e análise. A adoção de programas robustos de QA/QC minimiza incertezas e fornece base técnica sólida para a classificação de recursos conforme as diretrizes do CIM (2018) e da CRIRSCO.
Os códigos de reporte exigem que os resultados analíticos apresentados sejam verificáveis, rastreáveis e representativos. Os objetivos do QA/QC são:
- Garantir rastreabilidade (chain of custody) e integridade das amostras desde o campo até o laboratório;
- Monitorar a acurácia (accuracy) — quão próximo o valor analítico está do valor verdadeiro, geralmente avaliado por padrões (CRMs);
- Avaliar a precisão (precision) — grau de concordância entre medições repetidas, avaliada por duplicatas;
- Verificar contaminações cruzadas (cross-contamination) por meio de brancos;
- Avaliar deriva analítica e calibração por controle gráfico (Shewhart/Thompson-Howarth);
- Comprovar a competência dos laboratórios conforme ISO 17025 e a rastreabilidade de padrões conforme ISO 17034
Os conceitos de acurácia e precisão podem ser definidos como:
- Acurácia: mede o quão próximo o resultado analítico está do valor verdadeiro ou certificado. Alta acurácia indica ausência de viés sistemático — o método gera valores corretos em média.
- Precisão: mede o grau de concordância entre medições repetidas sob as mesmas condições. Alta precisão significa baixa variabilidade (baixo desvio-padrão), mesmo que as medições possam não estar centradas no valor verdadeiro.
A Figura 1 representa a diferença entre acurácia e precisão e sua interpretação está demonstrada a seguir.
- Acurado e preciso (superior esquerdo): Os pontos estão próximos do centro (valor verdadeiro) e agrupados entre si. ➤ Significa que o método analítico está sem viés e com baixa variabilidade — o melhor cenário para QA/QC.
- Não acurado, mas preciso (superior direito): Os pontos estão próximos entre si, porém afastados do centro. ➤ O método tem boa repetibilidade, mas apresenta viés sistemático (por exemplo, calibração incorreta).
- Acurado, mas não preciso (inferior esquerdo): Os pontos estão espalhados, mas médias próximas ao centro. ➤ As análises são, em média, corretas, mas há alta variabilidade (erro aleatório elevado).
- Não acurado e não preciso (inferior direito): Os pontos estão espalhados e longe do centro. ➤ O método apresenta viés e alta variabilidade, ou seja, é inadequado para decisões de controle de qualidade.

Figura 1 – Representação da acurácia e precisão em pontos adicionados ao alvo
2. Tipos de amostras de controle
2.1 Brancos
Servem para detectar contaminação cruzada durante a preparação ou análise. Devem conter teores abaixo do limite de detecção (LLD) e ser de matriz semelhante ao material amostrado (granulometria e dureza comparáveis), principalmente para se evitar a diferenciação desta amostra por análise visual. O objetivo de amostras de branco é verificar a contaminação durante os processo de preparação das amostras. É importante intercalar os pardrões principalmente com amostras de alto teor.
Características recomendadas:
- Material natural homogêneo, quimicamente inerte (quartzo, granito, basalto ou calcário de baixa impureza);
- Quantidade equivalente à massa típica das amostras;
- Ensaio prévio de 5 a 10 amostras para determinar composição média e desvio-padrão;
- Falha de branco: resultados > 3 a 10 × LLD ou > 3 σ acima da média.
2.1. Padrões (Certified Reference Materials – CRMs)
Os CRMs monitoram acurácia e viés das análises em relação aos valores certificados de consenso obtidos por round-robins interlaboratoriais. O objetivo do pardão é verificar a acurácia das medidas laboratoriais.
Critérios de seleção:
- Faixa de teores cobrindo valores próximos ao cut-off, ao teor médio e a teores altos;
- Matriz compatível com o tipo litológico/mineralógico do depósito;
- Certificação conforme ISO 17034 com ao menos 10–15 laboratórios participantes;
- Embalagem em sachês selados (preferencialmente em atmosfera de N₂ para CRMs sulfetados);
- Taxa de inserção recomendada: 1 a cada 20 amostras (≥ 5 %).
Aceitação:
- Valores devem cair dentro de ± 2 σ (95 %) em 95 % dos casos;
- ± 3 σ (99,7 %) é limite de falha analítica. Resultados fora de ± 2 σ devem ser investigados; dois de três resultados consecutivos > 2 σ indicam viés
2.3. Duplicatas (Duplicates)
Avaliam precisão e são coletadas em diferentes estágios:
- Campo: amostras paralelas no mesmo ponto;
- Preparação (coarse crush): replicadas após britagem;
- Pulp: duplicatas de polpa no laboratório;
- Analíticas: repetições sobre mesma polpa.
O método de cálculo de precisão mais adotado é o coeficiente de variação médio (CVAVE):

Figura 2 – CVAVE
onde ai e bi são os valores do par duplicado.
Outras métricas derivadas:
- RP = 2 × CVAVE (Relative Precision)
- ARD = √2 × CVAVE (Absolute Relative Difference)
- HARD = (√2/2) × CVAVE (Half Absolute Relative Difference)
Valores típicos de precisão aceitável:
- < 10 % para metais base; < 20 % para Au > 1 ppm; < 30 % próximo ao LLD.
3. Gráficos de controle
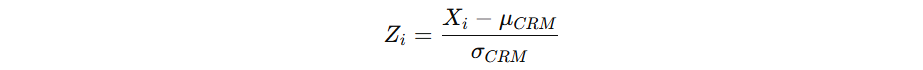
3.1. Gráfico de Shewhart (Control Chart)
Mostra o valor medido de cada CRM ao longo do tempo, com linhas de ± 1, ± 2 e ± 3 σ em torno do valor certificado.
Fórmula básica:

Figura 3 – Z score
onde Zi é o Z-score do CRM i.
- Pontos > 3 σ → falha;
- Dois em três > 2 σ no mesmo lado → viés sistemático.
A figura 4 representa um gráfico de controle shewart e o ponto de falha representado pelo ponto vermelho

Figura 4 – Gráfico de controle shewart
3.2. Gráfico Thompson-Howarth
Introduzido por Thompson & Howarth (1978) e aprimorado por Stanley & Lawie (2007). Avalia a relação entre média dos pares de duplicatas (x) e diferença absoluta das duplicatas (s):

Figura 5 – Equação fundamental Thompson Howarth
Onde:
- s = desvio absoluto entre duplicatas (imprecisão observada),
- a = componente aditiva (erros constantes, dominantes em baixas concentrações),
- b = componente multiplicativa (erros proporcionais à concentração, dominantes em teores altos).
- C = teor médio entre as duplicatas
- O termo “a” indica o erro associado ao limite de detecção (ruído analítico).
- O termo “b” representa o erro proporcional, típico de falhas de pesagem, digestão ou calibração.
Thompson & Howarth definiram a precisão relativa como:

Essa equação mostra o percentual de variação esperado entre duas análises independentes no mesmo teor C. Por exemplo, se RP = 10 %, significa que a diferença esperada entre duplicatas é de ± 10 % do teor médio.

Figura 7 – Gráfico thompson howart
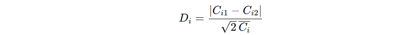
3.3. Gráficos HARD e MAD
Quando temos pares de duplicatas (Ci1 e CI₂) — amostras coletadas e analisadas sob condições idênticas — queremos medir o quanto elas diferem entre si. Essas diferenças refletem a imprecisão total do processo: coleta, preparação e análise. De acordo com Hyslop & White (2009), a precisão pode ser estimada pelas diferenças absolutas entre duplicatas utilizando:

Onde

Em que:
- Ci1 = valor da duplicata 1
- Ci2 = valor da duplicata 2
- Ci = média entre as duplicatas
O termo quadrático do RMS torna o método muito sensível a outliers, o que é comum em dados geoquímicos. Em QA/QC de mineração, o MAD é preferido quando há poucos dados ou presença de valores extremos.
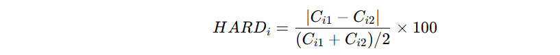
O HARD (Half Absolute Relative Difference) é uma medida ainda mais direta da precisão relativa entre duas análises.

Figura 10 – HARD

4. Frequência e critérios de aceitação

5. Conclusão
Os programas de QA/QC (Quality Assurance / Quality Control) são pilares fundamentais para garantir a confiabilidade dos dados analíticos utilizados na exploração e avaliação de recursos minerais. A aplicação sistemática de brancos, padrões e duplicatas, associada ao uso de ferramentas estatísticas robustas — como os gráficos de Shewhart, Thompson & Howarth, HARD e MAD — permite monitorar continuamente a acurácia e a precisão dos resultados laboratoriais.
Os códigos internacionais de reporte (JORC, NI 43-101, CIM e SEC SK-1300) exigem que os profissionais competentes demonstrem não apenas a origem dos dados, mas também sua qualidade metrológica, o que torna o QA/QC um requisito legal e técnico indispensável.
Além do controle interno, o uso de materiais de referência certificados (CRMs), produzidos conforme a ISO 17034 e validados por round robins interlaboratoriais, assegura rastreabilidade e comparabilidade global entre laboratórios. No Brasil, instituições como IPT, CETEM, INMETRO e CPRM/SGB desempenham papel essencial no desenvolvimento e certificação de CRMs nacionais, fortalecendo a base metrológica da mineração brasileira.
Em síntese, a qualidade dos dados geoquímicos e de teor é o alicerce de qualquer estimativa de recursos e reservas. Um programa de QA/QC bem estruturado, revisado por profissionais qualificados, reduz incertezas, aumenta a confiabilidade técnica dos relatórios e garante transparência perante investidores, auditorias e órgãos reguladores.
Referências
- Smee, B.W., Bloom, L., Arne, D., Heberlein, D. (2024). Practical Applications of QA/QC in Mineral Exploration, Resource Estimation and Mining Programmes. Geochemistry: Exploration, Environment, Analysis, v. 24.
- Hyslop, N.P. & White, W.H. (2009). Estimating Precision Using Duplicate Measurements. Journal of the Air & Waste Management Association, 59(9), 1032–1039.
- Thompson, M. & Howarth, R.J. (1978). Duplicate Analysis in Geochemical Practice. Analyst, 103(6), 690–698.
- Stanley, C. & Lawie, D. (2007). Practical Guide to QA/QC in Exploration. Explore 167.
- CIM (2018). Mineral Exploration Best Practice Guidelines.
- ISO 17025 (2017); ISO 17034 (2016).
- CRIRSCO (2023). International Reporting Template.
Share this content:
